12月21日,我院陆培祥教授领导的超快光学团队在《物理评论快报》上发表了题为《利用阿秒光电子全息测量场强电离时间》(Determination of the Ionization Time Using Attosecond Photoelectron Interferometry)的文章,他们提出并演示了利用光电子全息精确测量强激光场中原子隧穿电离的时间。
一般而言,在强激光场的作用下,原子、分子会发生隧穿电离。电离后的电子可以通过两种不同的路径到达探测器:部分电子直接到达探测器,另一部分电子与母离子发生散射后到达探测器。经历这两种路径的电子会在探测器上发生干涉现象,即光电子全息干涉。光电子全息是在亚原子尺度探测物质微观结构的重要技术。然而,传统的光电子全息的时间分辨率低,并不能用来探测原子分子的超快动态过程。
陆培祥教授团队近几年围绕超高时间分辨光电子全息开展了一系列工作,发展了一种基于强场隧穿电离的阿秒光电子全息技术。团队成员周月明教授等人对这种强场光电子全息在理论上进行了深入的研究,他们分析了强场光电子全息干涉的形成过程,指出这种全息技术同时具有亚埃量级的空间精度(1埃=10-10m)和阿秒量级的时间精度(1阿秒=10-18s),能够探测原子、分子结构和超快动态过程。他们首先演示了利用这种技术提取原子、分子的结构信息,即散射振幅相位。这为全息干涉技术在探测原子、分子结构及超快动力学过程方面的应用奠定了理论基础( Phys. Rev. Lett. 116, 173001 ,2016)。随后,他们提出并演示了利用强场光电子全息技术实时探测分子内部的超快电荷迁移,时空分辨率达到10-18s、10-12m,是利用目前具备的技术所能达到的最高时空分辨率(Phys. Rev. Lett. 120, 133204 ,2018)。

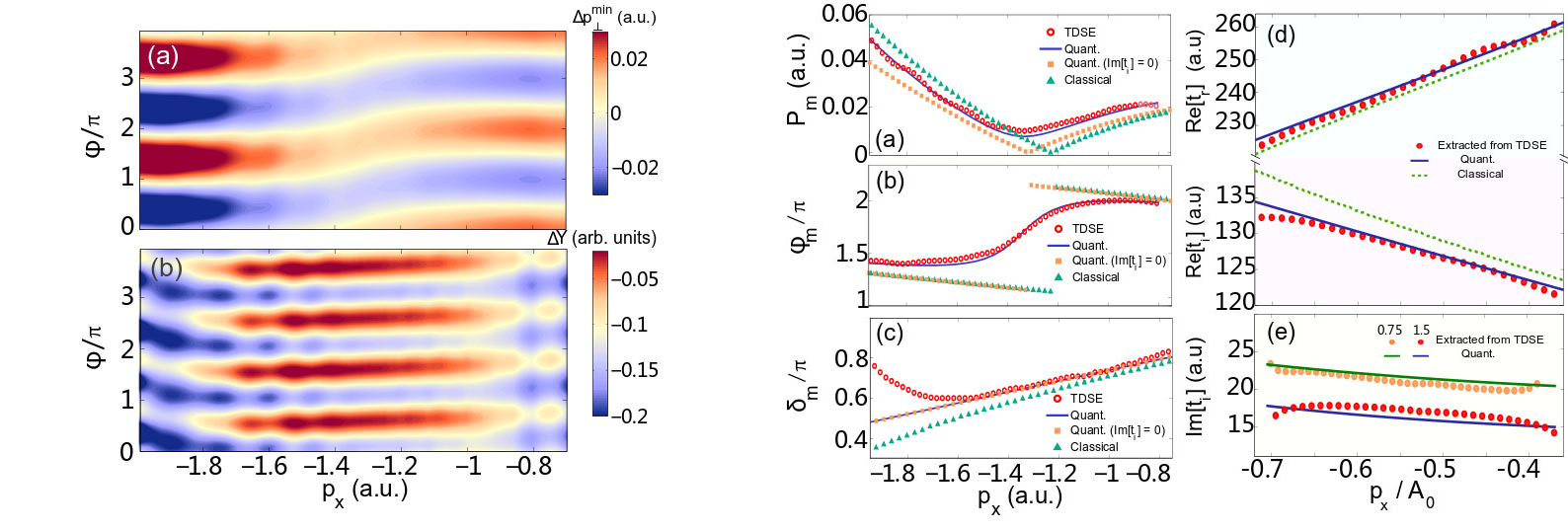
最近,他们提出利用阿秒光电子全息干涉探测隧穿电离过程。隧穿电离是量子力学的一个基本过程,它是“阿秒科学”中许多超快过程的第一步。对原子、分子隧穿电离时间的精确测量,直接关系到阿秒度量的精度。团队成员通过引入一个微扰场,探测了光电子全息干涉条纹对微扰的响应,成功地提取了强场作用下原子、分子隧穿电离的电子出现在势垒外侧的时间,同时还提取了电子在势垒中运动的时间。这一系列的工作,建立了阿秒光电子全息的理论,阐明了全息技术在原子分子领域的应用前景。

我院2017级博士生谭佳为论文第一作者,周月明教授、黎敏教授和陆培祥教授为论文共同通讯作者。该工作得到国家自然科学基金和华中科技大学学术前沿青年团队项目的资助。