2019年5月23日,华中科技大学物理学院量子材料团队在《自然•通讯》(Nature Communications)上发表了题为《Giant anisotropic magnetoresistance and nonvolatile memory in canted antiferromagnet Sr2IrO4》的研究论文。陆成亮教授和东南大学董帅教授为共同通讯作者,我院16级博士生王好文为第一作者,南京大学刘俊明教授深度参与了这项工作。
近现代科学与技术完美结合的典型实例当属于巨磁电阻效应(GMR)在信息存储上的应用。这一应用极大提升了我们的生活水平和幸福指数,发现者也获得了2007年诺贝尔物理奖。然而社会的进步和科技的发展对信息科学提出了更为迫切的需求,例如更快写入/读取、更高容量、更高效率等。面对这些需求,传统的以铁磁材料为核心的自旋电子学器件体现出了明显局限性。在这一大背景下,反铁磁电子学(Antiferromagnetronics)应运而生。
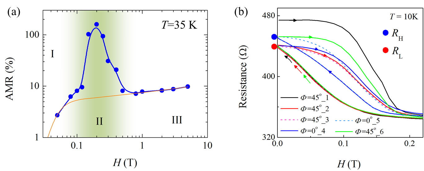
从信息存储和处理的角度来说,反铁磁体至少有四大独特魅力。(1)高度稳定性:来源于反铁磁体不表现出宏观磁矩,因而对外界扰动不敏感;(2)适用于高密度信息存储:反铁磁中自旋反平行,没有杂散场,因而信息存储单元可以非常小;(3)快速信息处理:反铁磁体中的自旋动力学响应在THz范畴,远高于铁磁体中的响应频率(~GHz范畴);(4)反铁磁体在自然界中有着更为广泛的分布,而且自旋构型非常多样化。当前,在反铁磁序的操控上,人们已经可以通过多种方式来实现;信息读取上,主要的方式是通过各向异性磁电阻效应(AMR),物理基础是磁晶各向异性能。然而,目前实验上观测到的AMR效应大多很弱(<1%),这也成为该领域的一个难题。
围绕这一关键科学问题,来自华中科技大学、东南大学、南京大学、武汉大学和美国Rutgers大学的联合课题组,深入研究了Sr2IrO4单晶中的各向异性磁电阻效应。通过实验测量,他们看到晶体中的AMR数值可以高达160%,来源于类GMR效应和磁晶各向异性能的共同作用(双机制复合)。进一步,利用微量Ga替代其中的Ir,他们观测到了零磁场下的非挥发性记忆效应。并且,记忆阻态之间的转换可以通过原位加磁场实现。该工作是陆成亮教授课题组在前期工作(Advanced Functional Materials 28, 1706589 (2018), Physical Review Applied 10, 014025 (2018))基础上的推进。

论文链接:https://www.nature.com/articles/s41467-019-10299-6