4月24日,《科学·进展》(Science Advances)在线刊发了强磁场物理研究所朱增伟教授题为《有限温度下反常横向魏德曼弗兰兹定律的破坏》(Finite-temperature violation of the anomalous transverse Wiedemann-Franz law)的论文。我校为论文第一单位,朱增伟教授、我校高端外国专家Kamran Behnia教授以及以色列魏茨曼科学研究院颜丙海教授为论文共同通讯作者,物理学院2017级博士生许良才为论文第一作者,博士生李小康以及工程师卢秀芳参与了相关工作。
电子在金属材料的运动过程中,既能够传导电流,也能够传导热流,电导率和热导率之间满足魏德曼弗兰兹定律,即洛伦兹常数=电导率/(热导率╳温度) =索末菲值(Sommerfeld value,L0=2.44 × 10-8V2K-2)。这一定律已经在大量材料中得到了验证。若给材料施加外磁场,运动中的电子将在洛伦兹力的作用下发生偏转,产生与外加磁场的大小成正比的横向电压和横向温差,这一现象被称之为霍尔效应和热霍尔效应。进一步研究表明,在磁性材料中霍尔效应的强度并不与外磁场大小成正比。最近的理论研究认为,反常的霍尔效应是由电子能带的贝里曲率决定的,朱增伟团队已在前期的非共线反铁磁材料Mn3Sn的反常横向魏德曼弗兰兹定律研究中验证了该理论(Phys. Rev. Lett. 119, 056601, 2017)。

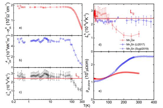
图1 Mn3Ge中有限温度反常魏德曼弗兰兹定律的破坏
此次通过对非共线反铁磁材料Mn3Ge从室温到亚开尔文温度范围内的反常霍尔效应和反常热霍尔效应进行研究(图1),验证发现反常横向魏德曼弗兰兹定律在低温下也是成立的,但是在高温段并不符合。

图2 A.输运各系数的积分因子B.热导率和电导率对于贝里曲率的积分示意图
通常情况下,材料中运动的电子受到声子的非弹性散射会偏离魏德曼弗兰兹定律。但通过与Mn3Sn对比分析发现,Mn3Ge中魏德曼弗兰兹定律的偏离并不符合这一传统的散射机制。为了解释这一现象,该研究从玻尔兹曼输运方程出发,提出了一种新的机制:半经典的输运理论中,热导率和电导率都是一个特定的分布函数与贝里曲率的乘积在费米面的积分。不同之处在于,电导的分布函数是一个单峰函数,而热导率的分布函数是双峰函数(图2A)。随着温度的增加,电子的热德布罗意长度发生改变,出现使得热导率和电导率对于贝里曲率的积分结果不匹配的现象,从而破坏反常的魏德曼弗兰兹定律(图2B)。同时,该研究还通过理论计算揭示了温度与贝里曲率分布之间的竞争关系,从而验证了上述模型。该研究结果也表明了反常的魏德曼弗兰兹定律可以灵敏地探测费米能附近的贝里曲率谱。
该研究工作得到了国家重点研发计划、国家自然科学基金以及我校高端外专项目等支持。
论文链接:https://advances.sciencemag.org/content/6/17/eaaz3522