2023年9月27日,我院陆成亮教授课题组在《物理评论快报》(Physical Review Letters)上发表了题为《Colossal linear magnetoelectricity in polar magnet Fe2Mo3O8》的研究论文。陆成亮教授与东南大学董帅教授为共同通讯作者,我院博士生常钰婷、南京邮电大学翁亚奎老师、湖北师范大学谢云龙老师为共同第一作者,武汉强磁场中心王俊峰研究员、李亮教授、南京大学刘俊明教授深度参与了该工作。
线性磁电耦合是指磁场(H)与电极化(P)或电场(E)与磁化强度(M)呈线性关联的一类经典磁电效应。物理上,线性磁电同时具有空间反转对称性破缺和时间反演对称性破缺,与一系列的新物理效应密切相关,包括铁环性、磁电单极子、准粒子的非互易输运等。与传统磁电材料相比,线性磁电材料在应用中可能具有更高精度的独特优点,源于其中电、磁之间的线性对应。线性磁电的研究已半世纪有余,但其较弱的磁电耦合(系数约1~10 ps/m)是该领域一大难题。

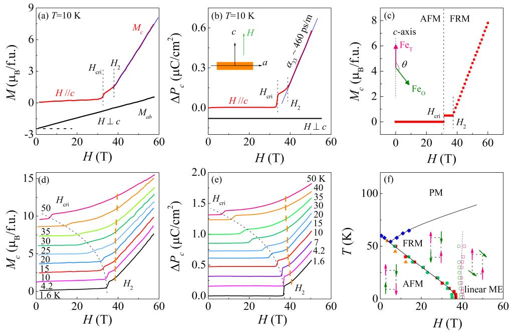
图:(a)磁化强度与磁场的关系曲线;(b)电极化强度与磁场的关系曲线;(c)基于简化自旋模型的M-H模拟变化关系;(d)不同温度下的磁化强度与磁场的关系曲线;(e)不同温度下的电极化强度与磁场的关系曲线;(f)根据实验和理论计算结果构建的Fe2Mo3O8磁电相图。
围绕于此,合作研究团队报道了极性磁体Fe2Mo3O8中巨大的线性磁电效应,并揭示其物理机制。该工作主要利用脉冲强磁场设施的磁化与电极化实验测试平台,深入研究极性磁体Fe2Mo3O8在高达58T脉冲强磁场下的磁化与电极化特性。研究发现,强磁场可以诱导Fe2Mo3O8磁结构的连续变化以及电极化的线性增长,其对角分量的磁电系数α33的值可达到480ps/m,这比以往报道的磁电系数大了近两个数量级,并且线性磁电效应可以在40~58T较宽磁场范围内持续存在。这一实验结果在理论模型中得到再现,并揭示了交换伸缩机制在线性磁电耦合中的重要贡献。我院博士生常钰婷同学今年已在线性磁电方面发表系列工作,均为第一作者:Phys. Rev. Lett. 131, 136701 (2023); Phys. Rev. B 107, 014412 (2023); ACS Appl. Mater. Interfaces 15, 22204 (2023); Appl. Phys. Lett. 123, 102402 (2023)。
该工作得到了国家自然科学基金、省基金、强磁场学科交叉基金等项目支持。
论文链接:https://journals.aps.org/prl/abstract/10.1103/PhysRevLett.131.136701