8月21日,《物理评论快报》(Physical Review Letters)在线发表了超快光学实验室与德国马普所物质结构与动力学研究所Hannes Hübener博士(GroupLeader)、意大利巴勒莫大学Umberto De Giovannini副教授合作的最新研究成果[Phys. Rev. Lett. 135, 086404 (2025)],论文题为“Attosecond All-Optical Retrieval of Valley Polarization via Circular Dichroism in Transient Absorption”。华中科技大学为第一单位,我院2021级博士生李文清为第一作者,祝晓松、兰鹏飞、陆培祥教授为共同通讯作者,团队李亮副教授、王凯教授、博士生赫婉竹参与了该工作。
在二维材料中,电子的谷自由度是一种区别于电荷和自旋自由度的量子自由度,针对该自由度的操控与应用的谷电子学研究,为下一代信息存储和处理提供了新的可能性。谷极化(Valley Polarization, VP)的全光超快操控是实现拍赫兹(1 PHz = 10¹⁵Hz)谷电子学的关键,相关研究有望推动下一代超高速信息处理技术的发展。然而,目前对于谷极化超快动力学过程的探测方法存在时间分辨率不足以及可观测量与谷极化之间缺乏简单直接对应关系等问题,难以实现对超快光场操控下谷极化开关瞬态过程的准确探测。
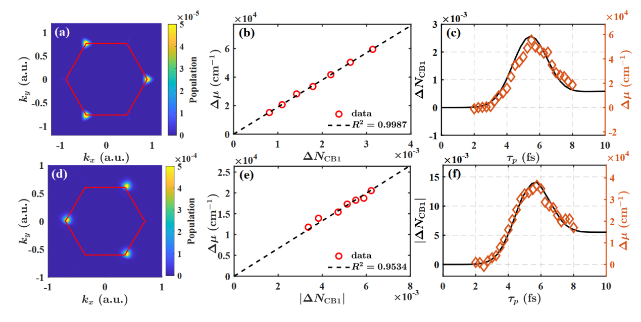
超快光学实验室提出了一种全新的全光方法,能够以阿秒(10⁻¹⁸秒)时间分辨率定量地探测谷极化超快动力学。该方法利用圆二色性(Circular Dichroism, CD)瞬态吸收光谱,通过圆偏振探测脉冲激发电子在第一导带(CB1)和更高未占据能带之间的跃迁,建立了谷极化与可观测的圆二色瞬态吸收信号的正比定量关系,从而实现对谷极化的定量测量。同时,由于CB1与更高能带之间的更大的能量间隔,使得该方法能够支持亚飞秒时间分辨率。团队通过基于含时密度泛函理论的数值泵浦-探测实验,在h-BN和MoS₂这两种典型的二维材料中演示了这一测量方法。结果表明,该方法能够以250阿秒的时间分辨率准确地重构超快谷极化动力学过程,特别是几飞秒时间尺度内的谷极化开关瞬态过程。

图1:对MoS2在图(a)所示的超短控制脉冲作用下谷极化开关过程的精确探测。图(b)展示了该方案中可观测量与谷极化之间的正比关系,图(c)为圆二色吸收光谱,图(d)展示了重构结果与实际谷极化过程的对比。

图2:该方法同样可精确探测基于非共振光场波形操控的超快谷极化过程。
这项工作解决了准确探测超快谷极化动力学过程,特别是谷极化切换的瞬态过程,这一关键且紧迫的问题,为拍赫兹谷电子学的发展提供了重要的工具。通过这种高时间分辨率的定量探测技术,研究人员可以深入研究谷极化的超快动力学的内在物理机制,为开发下一代超高速信息处理技术奠定基础。
该研究得到了国家重点研发计划、国家自然科学基金、European Union-Next Generation、Marie Sklodowska-Curie Doctoral Networks等项目的资助。
论文链接:https://journals.aps.org/prl/abstract/10.1103/7n3p-cq9f