近日,物理学权威期刊《物理评论快报》(Physical Review Letters)在线刊发了我院吕新友教授与合作者的最新研究成果,论文题为《Exceptional Point Superradiant Lasing with Ultranarrow Linewidth》。物理学院2023级博士生杜敏为论文第一作者,华中科技大学吕新友教授与四川大学特聘副研究员宾倩(原华中科技大学博士及博士后)为论文共同通讯作者,合作者包括物理学院博士后邱庆洋和日本理化学研究所Franco Nori教授。

图1:模型,原子能级结构,PT对称性系统本征值。
原子钟是当前最精密的测量装置之一,在引力波探测、暗物质探索、相对论检验、信息网络以及卫星导航等领域具有广泛应用。原子钟的线宽是决定其频率稳定性和测量精度的关键参数。基于超辐射激光的光学原子钟能够实现窄线宽输出,从而显著提升原子钟稳定性。然而,超辐射激光的线宽受Purcell增强的原子自发辐射速率所限制,因此进一步压缩线宽既具有挑战性,也具有重要意义。奇异点(Exceptional Points, EPs)是非厄米宇称-时间(PT)对称系统中的奇异结构,具有一系列独特性质,可引发损耗诱导相干、手性模态切换以及显著的灵敏度增强等新奇物理现象。PT对称性与超辐射激光结合,作为超辐射激光发展中的一个重要方向,有望突破上述限制,实现线宽的进一步压缩。

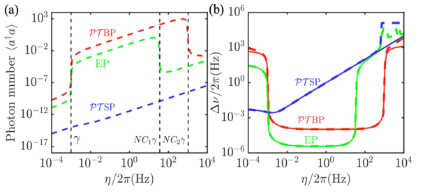
图2:PT对称性守恒、破缺和EP点处的光子数和输出线宽。
该工作研究了奇异点对稳态超辐射激光的影响,并提出了一种基于奇异点实现超窄线宽超辐射激光的理论方案。研究发现,PT对称系统中奇异点的存在能够影响原子相干性并改变Purcell增强的原子辐射速率,从而有效降低进入集体辐射区域的上阈值。在奇异点处,原子相干性达到最大,显著放大超辐射效应,并最终实现超窄线宽的超辐射激光输出。该超辐射激光的线宽可达到微赫兹(μHz)量级,较无奇异点机制的超辐射激光系统缩窄三个数量级,远小于单原子的衰减速率。该工作通过引入奇异点特性拓展了超辐射激光的研究范围,为提升原子钟的稳定性与精度提供了一种新的实现途径,并在国际时间基准、国家授时系统、卫星导航系统以及广义相对论检验等领域具有潜在应用价值。
该工作得到了国家自然科学基金和“量子通信与量子计算机”国家科技重大专项等资助项目的资助。
论文链接:https://journals.aps.org/prl/abstract/10.1103/sbbk-xdvs